Azərbaycanda Unun qiyməti - Bu tarixdən etibarən...

Azərbaycanda Unun qiyməti - Bu tarixdən etibarən... İqtisadiyyat

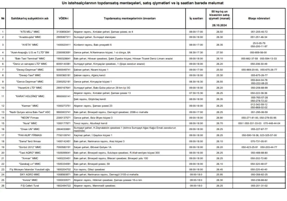
Azərbaycanda oktyabrın 28-dən etibarən unun topdansatış qiyməti məlum olub.

News24.az Modern.az-a istinadla xəbər verir ki, bu barədə Antiinhisar və İstehlak Bazarlarına Nəzarət Dövlət Xidməti məlumat yayıb.

Bildirilib ki, hazırda ölkədə 50 kq-lıq ən ucuz un növü ("Dəvəçi-Taxıl") 25.30 manata satılır.

Məlumata görə, ən bahalı un növü isə "Azeri-Arapoğlu U.S. və T.LTD" BM-dir. Bu növ unun 50 kq-lıq satış qiyməti 27.50 manatdır.

"Dəvəçi-Dəyirman" MMC-yə məxsus 50 kq-lıq un kisəsinin satış qiyməti - 25.50 manat;

"SKY AGRO" MMC-yə məxsus 50 kq-lıq un kisəsinin satış qiyməti - 25.95 manat;

"Bakı Taxıl Terminalı" MMC, "Qarabağ un" MMC və "Səma" fərdi firmasına məxsus 50 kq-lıq un kisəsinin satış qiyməti - 26.10 manat;

"Dəniz un sənayesi LTD", "Sünbül 20 12", "Avrora" "Hazartürk LTD" MMC-lərə məxsus 50 kq-lıq un kisəsinin satış qiyməti - 26.20 manat;

"Karmen" MMC, "Orxan UN" MMC, "Taxıl AQRO" MMC, "Xırman" MMC, "PAK-NUR" FİRMASI, "Nadir Quliyev adına Bakı-Taxıl" ASC-yə məxsus 50 kq-lıq un kisəsinin satış qiyməti - 26.25 manat;

"Anadoluqida" MMC-yə məxsus 50 kq-lıq un kisəsinin satış qiyməti - 26.30 manat;

"AVETA" və "KARAT HOLDİNQ" MMC-lərə məxsus 50 kq-lıq un kisəsinin satış qiyməti - 26.35 manat;

"ATS MİLL" MMC-yə məxsus 50 kq-lıq un kisəsinin satış qiyməti - 26.50 manat;

"Gəncə Dəyirman" MMC-yə məxsus 50 kq-lıq un kisəsinin satış qiyməti - 26.55 manat;

"NEON" Firmasına məxsus 50 kq-lıq un kisəsinin satış qiyməti - 26.90 manat;

"Nural" MMC-yə məxsus 50 kq-lıq un kisəsinin satış qiyməti - 26.70 manat;

Oktyabrın 28-dən etibarən Azərbaycanda istehsalçılar tərəfindən unun topdansatış qiyməti aşağıdakı kimi müəyyənləşib:


 


Azərbaycanda Unun qiyməti - Bu tarixdən etibarən...